时间:2020-11-17 点击: 次 来源:上海热线 作者:佚名 - 小 + 大
“情理也是法理的考虑因素之一;透过现象看本质,这里是缺舟也渡人” 它不能让每个人都满意,也做不到绝对的公平,只能让绝大部分人满意,让相对公平得以彰显。 11月10日,景某回到山东临沂的家中。(再审可能减轻原判刑罚而致刑期届满,于是对其取保候审) 他在监狱里一共度过了7年2个月零23天。 回到家中的他拿着照片上神,当被问及上边的人是不是都认不出来了,他给予了肯定的回答。 如今的他明显还没有从牢狱的环境当中走出来,基本上每天都是躺在床上玩手机,拒绝和社会接触。(买的智能手机,学了三天也没有学会) 面对别人出去转转的建议,也是没什么反应。
缺舟: 这一切都要从2014年开始说起 景某,男,1988年生人,原户籍为山东省临沂市临沭县。 2014年,经营一家玩具店的他,因15支玩具枪被认定为“枪支”。 被以“非法买卖枪支罪”判处有期徒刑10年,因在狱内获减刑2次,实际执行时间为7年2个月23天。 因为原判的执行中止,所以对其予以释放。 我们第一反应看见这样的新闻都会觉得难以理解,因为如果因为贩卖玩具枪就获罪,确实有些冤枉。 打个比方,如果说某些执法人员回到家中,看见自己的家里人从外边的小卖部里边买了玩具枪给孩子用,那么是否也涉嫌如此严重的枪支犯罪呢? 而那些供应玩具枪的源头,是不是也需要附上连带责任? 我说这些话,不是想质疑判决,只是觉得在对于量刑方面一定要贴合实际。
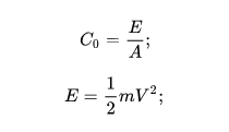
对于这件事,我之所以有保留是因为景某的枪支,具体的规格和型号是如何的,没有详细的说明。 对以压缩气体等为动力的非制式枪支,所发射弹丸的枪口比动能大于等于1.8焦耳/平方厘米的,应认定为枪支。 而当年的鉴定书,景某所贩卖的15支玩具枪的枪口比动能,在4.13焦耳/平方厘米至11.95焦耳/平方厘米之间。 那么何谓比动能呢?就是弹箭的动能与其最大截面的比值。
C0为比动能,E为动能,A为最大截面值。 至于这个所谓的1.8焦耳,确实很容易就达到标准了,我们以前小时候玩的那种装载有BB弹的枪,有很多其实都已经超过了这个标准。 如果按照这个规定,难免就会出现量刑过重的情况。 所以在18年,最高院所下发的一份解读文件里边对于此进行了批复,就是避免机械适用刑法的现象。 通俗一点来说就是不再单单考虑枪支动力类型,枪口比动能高低;而是也需要考虑犯罪嫌疑人的主观故意、客观行为以及危害结果等因素。 原则中规定: 在整体上保持对涉枪犯罪的从严打击,但是在个案中要贯彻和落实从宽精神。(主要就是区分以压缩气体为动力、强东比动能较低的枪支案件定罪量刑标准)
遵循实事求是精神,其中有一条很重要:“以压缩气体为动力、强东比动能较低的枪支案件,要区别对待,相关案件的处理结果必须得到广大人民群众的认同” 所以综上所述,如果景某所贩卖的玩具枪确实违反了规定,那么指定是要接受惩罚。 如果到了仿真枪的范畴,最多也就是“非法经营罪”,但是这个“非法买卖枪支罪”确实对他来说罪名有些过大。 不判,不合适;判重了,还得承受相应的后果。 我们能够看到的一面是机械性适应,但是还有另外一面就是司法也在不断的进步,就是避免再次出现类似的事件。 只是希望下次能够早一点。 |

上一篇:习近平:推进全面依法治国